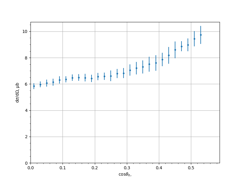
Measurement E160M9
| Experiment: | g13 | |
|---|---|---|
| Year: | 2006 | |
| Spokesperson: | Paul Mattione | |
| Reaction: | γd → π− p | |
| Polarization: | none | |
| Quantity: | dσ/dΩ | |
| Eγ: | 0.525 GeV | |
| Publication: |
P. T. Mattione et al. (CLAS Collaboration) Differential Cross Section Measurements for γn → π−p Above the First Nucleon Resonance Region //
Phys. Rev. C 96, 035204 (2017) arXiv:1706.01963 [nucl-ex]
|
|
| cos(θπ) | dσ/dΩ, [μb] | uncertainty | syst. uncert. | total uncert. |
|---|---|---|---|---|
| -0.65 | 5.1053 | 0.0622 | 0.31 | 0.34 |
| -0.63 | 5.2043 | 0.0554 | 0.23 | 0.28 |
| -0.61 | 5.1329 | 0.0491 | 0.34 | 0.36 |
| -0.59 | 4.9946 | 0.0458 | 0.31 | 0.34 |
| -0.57 | 4.9215 | 0.0444 | 0.24 | 0.28 |
| -0.55 | 5.0374 | 0.0449 | 0.4 | 0.42 |
| -0.53 | 5.118 | 0.0443 | 0.35 | 0.37 |
| -0.51 | 5.0789 | 0.0429 | 0.27 | 0.31 |
| -0.49 | 4.9821 | 0.0409 | 0.28 | 0.31 |
| -0.47 | 4.9267 | 0.0406 | 0.18 | 0.23 |
| -0.45 | 4.8931 | 0.0404 | 0.15 | 0.2 |
| -0.43 | 4.9004 | 0.0403 | 0.22 | 0.26 |
| -0.41 | 5.1038 | 0.0413 | 0.31 | 0.34 |
| -0.39 | 4.9041 | 0.0403 | 0.21 | 0.25 |
| -0.37 | 4.9038 | 0.0405 | 0.25 | 0.28 |
| -0.35 | 5.0427 | 0.0405 | 0.24 | 0.28 |
| -0.33 | 5.0143 | 0.0396 | 0.23 | 0.27 |
| -0.31 | 5.063 | 0.0393 | 0.27 | 0.3 |
| -0.29 | 5.1127 | 0.0391 | 0.17 | 0.22 |
| -0.27 | 5.1169 | 0.0382 | 0.19 | 0.24 |
| -0.25 | 5.1513 | 0.0367 | 0.2 | 0.24 |
| -0.23 | 5.2694 | 0.0354 | 0.28 | 0.31 |
| -0.21 | 5.4048 | 0.0342 | 0.28 | 0.32 |
| -0.19 | 5.4732 | 0.0326 | 0.17 | 0.22 |
| -0.17 | 5.5598 | 0.0316 | 0.27 | 0.31 |
| -0.15 | 5.638 | 0.0309 | 0.2 | 0.25 |
| -0.13 | 5.6585 | 0.0304 | 0.16 | 0.22 |
| -0.11 | 5.691 | 0.0301 | 0.18 | 0.23 |
| -0.09 | 5.7775 | 0.0302 | 0.11 | 0.19 |
| -0.07 | 5.7972 | 0.0298 | 0.19 | 0.24 |
| -0.05 | 5.902 | 0.03 | 0.17 | 0.24 |
| -0.03 | 5.9285 | 0.03 | 0.16 | 0.23 |
| -0.01 | 5.9454 | 0.0302 | 0.19 | 0.25 |
| 0.01 | 5.8371 | 0.03 | 0.15 | 0.22 |
| 0.03 | 5.9635 | 0.0308 | 0.16 | 0.22 |
| 0.05 | 6.0733 | 0.0312 | 0.21 | 0.27 |
| 0.07 | 6.1383 | 0.0317 | 0.2 | 0.26 |
| 0.09 | 6.3155 | 0.0325 | 0.22 | 0.28 |
| 0.11 | 6.3566 | 0.0333 | 0.17 | 0.24 |
| 0.13 | 6.4832 | 0.0352 | 0.17 | 0.24 |
| 0.15 | 6.5002 | 0.0372 | 0.19 | 0.25 |
| 0.17 | 6.4833 | 0.0387 | 0.25 | 0.3 |
| 0.19 | 6.4162 | 0.0386 | 0.21 | 0.28 |
| 0.21 | 6.5656 | 0.0395 | 0.22 | 0.28 |
| 0.23 | 6.5859 | 0.0395 | 0.22 | 0.28 |
| 0.25 | 6.6219 | 0.0395 | 0.36 | 0.4 |
| 0.27 | 6.8012 | 0.0401 | 0.3 | 0.35 |
| 0.29 | 6.8314 | 0.0401 | 0.33 | 0.38 |
| 0.31 | 7.0632 | 0.0408 | 0.4 | 0.44 |
| 0.33 | 7.2091 | 0.0415 | 0.43 | 0.47 |
| 0.35 | 7.3026 | 0.0426 | 0.46 | 0.5 |
| 0.37 | 7.5135 | 0.0448 | 0.54 | 0.57 |
| 0.39 | 7.6066 | 0.0475 | 0.56 | 0.59 |
| 0.41 | 7.8655 | 0.0517 | 0.46 | 0.5 |
| 0.43 | 8.1857 | 0.056 | 0.6 | 0.64 |
| 0.45 | 8.5994 | 0.0615 | 0.58 | 0.64 |
| 0.47 | 8.869 | 0.0667 | 0.29 | 0.38 |
| 0.49 | 8.9766 | 0.0716 | 0.41 | 0.48 |
| 0.51 | 9.4427 | 0.0794 | 0.53 | 0.59 |
| 0.53 | 9.7372 | 0.0879 | 0.63 | 0.69 |
Experiment comment: